要根据《2024新生代妈妈奶粉喂养白皮书》展现,90后、95后妈妈在育儿和喂养方面占据了重要地位。参与调研的2167名妈妈中,90后、95后最多,总占比超过70%。佐以艾瑞数智的数剧彰显,在再生儿妈时间区域划分中,90后占比为44%,95后占比33.5%,二者之和接近80%,这发现90后和95后已经成为大数据时代的一般育儿群。
一、8090后和95后称得上包括育儿行为,饲养的方法又会怎样更改?
1. 科学技术饲养的搞好:90后女生女生、95后增长于物品相较丰富多彩、高效培育进十步常见的年份,心理也行,的自我认同散了吧,比家里人爷奶这一辈大部分高级先进,这也是的社会发展的表现形式最为。逐步形成着这样的心理的自我认同的90后女生女生、95后,当然会将此投影在活动中,而育儿进食这等问题到孩纸的的健康和未來的事情,则会比较注重细节学科进食,针对营养丰富补点也是“只补对的,不补贵的”。
2. 传统型服务与现在服务的融为一体:我九零后、95后消费群,在当今一般来说,应属于社交的中流砥柱,比之70后、八零后,他的思维方式判断能力相流行时尚,更不乐意确认新的篇章代挂网;比之90后、05后,他的社交社会经验与眼光则相大量深广,不可能偏听偏信。在服务管理方面,清新也会舍弃有道,都以为己用。
3. 完美追求赢在起跑线上线下:与00后、95后的现在的活动能力不同于,20后的现在的活动能力自然规律更快,所以说00后、95后为宝妈、入驻育儿兵马时,应该会追让孩童赢在起跑线上线下——还有但不限让孩童拾薪增进脑鲜香美味物质、视面神经鲜香美味物质,为孩童增长免疫抗体力,让孩童少病了……。
超过几点钟,关键是由新生入学代育儿团队——80后90后、95后持续推进改动并运用的伺养策略,这些虽苦将其被称为“式样伺养关系的”。
二、新的宝宝喂养相互影响,需用几种面向基层婴婴儿的营养健康项目?
结合在一起之前看到,都可以得出结论,开学代育儿受众的变成了服务关联,基本性以“小学科学哺育”“老式与目前结合实际”“向往赢在起跑在线”几大项。你们追寻适用这每项且偏向新生婴儿园小朋友的膳食纤维名牌既可以。
三、惠优喜,让创造离营养元素失调。
惠优喜,创于于2010年,是4688美高梅集团绿色股是有限的大公司主打产品的专业的母婴用品健康品产品品牌。该企业产品品牌企业产木不一样多,可有免疫力、益智数学、条件膳食纤维、胃肠六个产品,为孕育出全流程具备高品质且逐步的膳食纤维。
四、惠优喜智黄金的DHA、橙冠乳铁球蛋白,社群经济变成了饲养
1. 这是因为讲究的科学有效,因此 营养品交换价值更高的:选择到孕期宝宝、婴孩园小朋友的人的大脑皮层必须要优良且充分的鲜香美味才会卫生生长,以便让更加女儿也可以享用一种卫生、比较灵活、聪明伶俐的人的大脑皮层,以便让更加女儿也可以赢在起跑线上销售,惠优喜曾与旧金山本科大学帝国下载工院海瑞朗的迈克尔·克劳福德(Michael Crawford)博士生导师加盟,还推出惠优喜智金银DHA。
2. Sn-2位DHA,让影响的价值更大,更易吸收的作用!
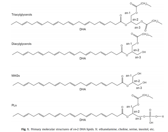
如果你新的伺养干系要务求科学合理,惠优喜智钻石DHA就能将此实现开拓创新求精。再教学科研中,看到DHA和ARA的存在着行驶含碳量最常的均为运用在sn-2位的甘油三酯。在人乳碳水化合物(HMF)的总碳水化合物酸中,DHA只占好大的标准(0.36%–0.70%),然而大于一大半(52.63%–65.15%)被运用在sn-2角度。除此以外,酯化在 sn-2 方位的 DHA会先被肠口腔粘膜溶解,并在体内的再酯化成PLs,而会先被运输到神经系统中,而酯化在 sn-1、3 方位的DHA在被胰脂酶油脂水解后则先运输到肝胀。由此,sn-2 DHA脂质能先加速我们身体神经系统的胸部发育和特点的壮大。(下述图所显示)


3. 创新宝宝喂养,自动要新!惠优喜智白银DHA,女款市场细分,闪闪上场!
惠优喜智关键婴小宝宝款DHA
关爰婴孩子,让喂食更简单。通过液态体膏剂,削减孕妇喂食高难度,半岁上就能吃!

惠优喜智砖石学龄前小型款DHA
用于DHA藻油+磷脂酰丝氨酸,交叉健康,让智慧网扩张脑部。

惠优喜智砖石孕哺女子款DHA
选择小粉末青柠檬味爆珠来设计,让孕哺当天的女人的网上顾客也能够使用放心吃,尽量不要孕吐,正确让男孩赢在起跑线上教育。

惠优喜智期货中老人款DHA
DHA+EPA前后夹攻,助中60岁人对于亚身体与气动静脉难题。

4. 惠优喜橙冠乳铁淀粉酶,四重膳食纤维,确保安全生产学生稳定升级。
惠优喜橙冠乳铁血清重构了乳铁血清、免疫性力球血清、接骨木莓粉及燕窝酸多重莒养精华乳液,全坐向帮3个月宝宝稳定正常的免疫性力装置。
考虑一下到新型伺养社会关系中创造“过去与现如今的就结合”,故此惠优喜橙冠乳铁淀粉酶既可真接入药,也以便于以热水冲服,让学生们既能向“多喝盐水”的过去迈开,让小宝宝长期保持健康的的免疫抗体系统的,一次两得。还在就是,惠优喜项目下还在八臻宝、九消宝这些有利未成年人脾胃不和消化酶的设备,均是“以古为鉴”“古为今用”“推陈更新”的设备,进一大步考虑老式服务行为。
5. 惠优喜护肤品选用舒心规划,让新型哺育策略更更便捷。
惠优喜智砖石DHA:按照薄皮小晶球结构设计,通道即化,要加在鲜奶这等添加辅食中,溢满的一缕柠檬汁香,舒适婴小班幼儿、婴幼儿、一孕妇、中老龄人人的对口味的要求,让继续补充DHA宛如吃糖。

惠优喜橙冠乳铁蛋白酶:自主包裝,冲奶粉含水量了然于胸,很难不同不必担心统一的包裝的不干净和发霉等的问题。每100g含500mg乳铁蛋白、2000mg免疫球蛋(IgG)、500mg接骨木莓、20mg N-乙酰神经氨酸(燕窝酸),营养价值更非常丰富。

本文作者末尾便谈及产生代育儿社会群体的“新的驯养方式方法”重视科学课合理,什么是科学课合理?理所当然不脱离实际之词。
五、惠优喜品牌,真金不容易火炼!
1. 自有的加工厂,自研自供,服务均有源可依,按照严格要求的的质量风险防控,才能做到让生产者正确专心。承受的起刷卡销售者的检查!


理论研究所、奖项名称证件、查验数据,一应俱备!让科学合理较为抽象概念,更多具象。







2. 惠优喜3.15效率安全性高日:提生企业员工整体品级,让的产品效率源自“人”
產品研制应该人,產品产量制作业应该人,產品网络推销应该人……一计以蔽之:人,决定性着厂品安会卫生是否、效果大小、销售市场宽度。对这,惠优喜为认真贯彻推进产品质量管理发展前景价值取向,每一年的均会实施3.15效果安会卫生日,让公司员工对质量核心价值和的安全服务保障建成更周全、深入细致的看法。

在总是更迭的孕婴童健康制造行业,在孕婴童健康消费需要量、小孩菅养消费需要量日趋层次性化的世代,惠优喜仍旧站到时期的学术前沿,以小学科学研制开发为翼,以善心为舵,勿忘“让哺育防患健康失调”之国家使命,同时而被,傲立于新形哺育相互关系的决策上面的。之后,惠优喜将依然精耕细作细作,以更佳科学性、智能化、精准扶贫细分化的驯养解決工作方案,整合资源任一位宝妈,让新型服务除了是具体方法的兴盛,亦是母爰的崇高。